Lampu Kuning Kinerja Keuangan Aceh Selatan, uang rakyat di Jakarta telah gagal dibawa pulang?

  • Bagikan

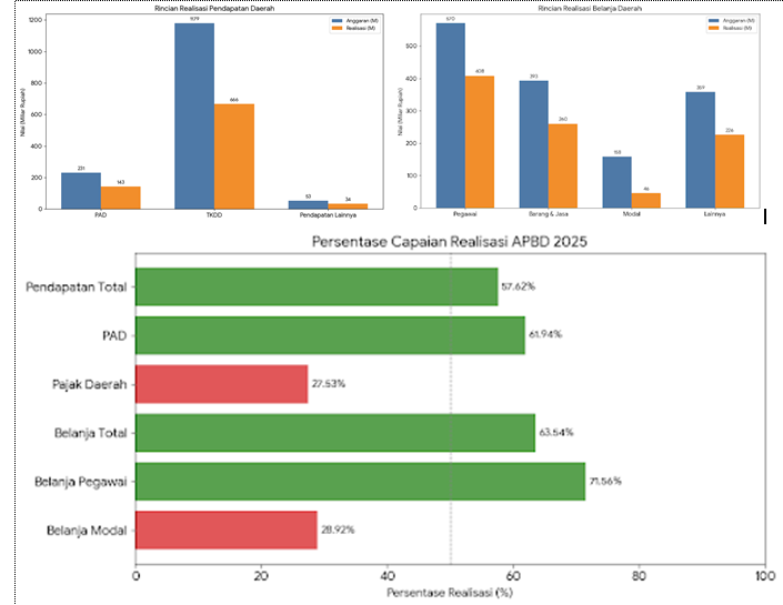
Aceh Selatan | SaranNews – Angka tidak pernah berbohong. Data realisasi APBD Kabupaten Aceh Selatan per 31 Desember 2025 yang diterima redaksi bukan sekadar deretan statistik, melainkan sebuah alarm bahaya yang nyaring. Realisasi pendapatan transfer pusat yang terhenti di angka 56,51 persen dan belanja modal yang hanya menyentuh 28,92 persen adalah potret buram tata kelola pemerintahan kita tahun ini.

Ini adalah sebuah ironi. Di saat pemerintah pusat melalui UU No. 62 Tahun 2024 dan KMK No. 29 Tahun 2025 menuntut daerah bekerja keras menekan stunting, kemiskinan ekstrem, dan inflasi dengan iming-iming dana transfer berbasis kinerja, Pemkab Aceh Selatan justru tampak gagap.

Macetnya dana transfer hingga hampir separuh dari target (hanya terealisasi Rp666 Miliar dari target Rp1,1 Triliun) bukanlah musibah alam. Ini adalah “hukuman” administratif. Pusat tidak mentransfer uang karena syarat kinerja tidak terpenuhi. Artinya, mesin birokrasi di Tapaktuan gagal meyakinkan Jakarta bahwa mereka bekerja dengan benar.

Dampaknya fatal. Rakyat yang menjadi korban. Ketika belanja modal (pembangunan fisik) hanya terealisasi 28 persen, itu berarti jalan yang rusak tetap berlubang, gedung sekolah yang bocor tidak direhab, dan fasilitas kesehatan tidak bertambah.

Yang lebih menyakitkan, di tengah ketidakmampuan membangun, belanja pegawai justru terealisasi paling lancar (71 persen). Publik disuguhi tontonan: gaji aparatur lancar, tapi pembangunan untuk rakyat mangkrak. Ditambah lagi dengan kinerja PAD sektor pajak yang hanya 27 persen, lengkap sudah indikasi inkompetensi ini.

Tahun 2025 harus menjadi tamparan keras. Kita tidak butuh alasan klise soal “kendala teknis”. Kita butuh pertanggungjawaban: Mengapa uang rakyat di Jakarta gagal dibawa pulang ke Aceh Selatan?[red]

Penulis: ZamzamiEditor: Redaksi
  • Bagikan

Tinggalkan Balasan

Alamat email Anda tidak akan dipublikasikan. Ruas yang wajib ditandai *